合作客戶/
拜耳公司 |
同濟大學 |
聯合大學 |
美國保潔 |
美國強生 |
瑞士羅氏 |
相關新聞Info
推薦新聞Info
-
> 二甲亞砜與二甲苯異構體混合物的體積收縮與表面張力降低效應(二)
> 二甲亞砜與二甲苯異構體混合物的體積收縮與表面張力降低效應(一)
> 表面能與表面張力對凍干制劑中“小瓶霧化”現象的影響機制研究
> 新型懸滴實驗系統的研制與二甲基亞砜/甲醇混合物表面張力測量(二)
> 新型懸滴實驗系統的研制與二甲基亞砜/甲醇混合物表面張力測量(一)
> 噻噸酮光敏劑體系:光電轉換與顯色特性的深度解析
> 溫度、締合強度、截斷半徑對球形空腔中締合流體界面張力的影響(二)
> 溫度、締合強度、截斷半徑對球形空腔中締合流體界面張力的影響(一)
> 一文讀懂什么是超微量天平
> LiF-CaF?-Yb?O?熔鹽體系表面張力的測定及其對Ni-Yb合金電解的指導意義(二)
香豆素取代二乙炔LB膜的組裝、聚合及螺旋結構形成機制(下)
來源:高分子學報 瀏覽 137 次 發布時間:2025-11-27
3.5光聚合行為研究
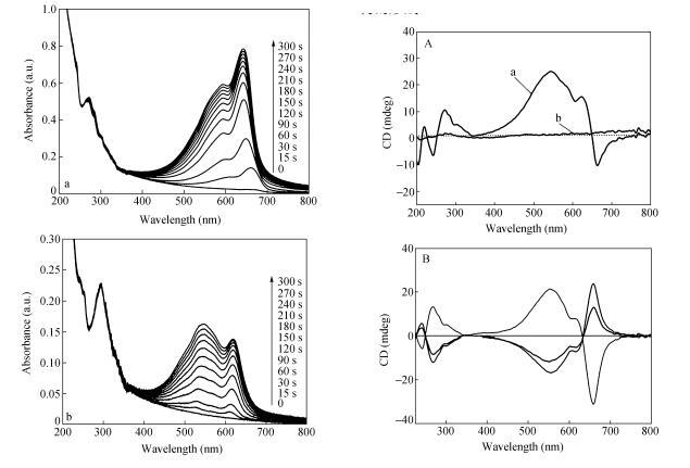
在紫外光輻照下,二乙炔單體可以通過1,4-加成聚合機理進行拓撲光聚合。二乙炔單體能否聚合取決于單體分子鏈間距離d和分子鏈與堆積軸之間的夾角,當d≈0.5nm,θ≈45°時二乙炔單體具有最大的聚合可能性。分子結構和端基相互作用對香豆素取代二乙炔單體組裝體在分子以及超分子水平上有影響,使得二乙炔單體表現出不同的聚合行為,可以通過紫外吸收光譜表征。如圖6所示,單體CODA和CO2DA均可以進行拓撲光聚合。
以CODA為例,隨著紫外光輻照時間增加,LB膜在590和640nm處出現2個典型的聚二乙炔藍相吸收峰,且隨時間增加而逐漸增強,薄膜顏色由淡黃色變為藍色。而對于CO2DA LB膜,隨著254nm紫外光輻照時間的增加,在540和620nm處出現兩個明顯的吸收峰,分別對應于聚二乙炔紅相和藍相的典型吸收,薄膜顏色由淡黃色變為紫色。隨著輻照時間的增加,540nm處吸收峰明顯增強,聚合薄膜中聚二乙炔紅相組分變多。
單體分子結構和分子間相互作用的不同使得兩種香豆素取代二乙炔單體LB膜的聚合行為有很明顯的差異。在CODA單體LB膜中,相鄰的香豆素基團間強烈的π-π相互作用使香豆素端基有序規整排列,從而使得CODA分子的二乙炔鏈可以緊密的平行排列,這使得CODA分子在紫外光輻照下聚合速率很快,并且聚合成了具有較長有效共軛鏈長的藍相。但是對于CO2DA單體LB膜,分子排列較松散,存在局部的缺陷,香豆素基團間無法形成緊密有序的規整排列,從而使得CO2DA分子間排列較CODA分子松散且不規整,聚合后薄膜中既存在較長有效共軛鏈長的藍相聚二乙炔主鏈,也存在共軛鏈長較短的紅相聚二乙炔主鏈。
3.6聚合后手性特征
從CODA單體LB膜的圓二色譜結果我們知道,香豆素端基在LB膜中形成了螺旋排列,那么這種端基螺旋排列是否會誘導聚二乙炔主鏈也形成相同的螺旋構象,將聚合后的LB膜(PCODA)進行圓二色譜表征。研究發現,對于CODA LB膜,聚合后香豆素基團的手性信號依然保留,而且在500~700nm范圍內也出現了明顯的手性信號,說明聚二乙炔主鏈形成了螺旋結構(如圖7(A)所示)。
而對于PCODA LB膜,聚合后在500~700 nm范圍內觀察不到明顯的CD信號,說明聚二乙炔主鏈未形成螺旋結構或形成的左旋和右旋螺旋結構數量相當。此現象可歸因于兩種香豆素取代二乙炔單體在氣-液界面組裝方式上的差異。在CODA單體LB膜中,相鄰的香豆素基團間強烈的π-π相互作用使香豆素端基有序規整排列,從而使得CODA分子的二乙炔鏈可以緊密的平行排列,有利于體系對稱性被打破,某一方向聚二乙炔主鏈螺旋結構在LB膜中占主導地位,表現出宏觀手性。而CO2DA LB膜中,香豆素基團排列較松散,存在局部的缺陷,不利于聚二乙炔主鏈螺旋結構的形成。
同時我們觀察發現,香豆素端基螺旋堆砌方向與聚二乙炔主鏈螺旋方向存在一定的關系。如圖7(B)所示,CODA LB膜聚合后香豆素基團在268nm處出現負的CD信號,則聚二乙炔主鏈在550 nm處同樣出現負的CD信號;香豆素基團在268nm處出現正的CD信號,則聚二乙炔主鏈在550 nm處同樣出現正的CD信號。兩者之間有一一對應關系。香豆素端基的螺旋排列決定了聚二乙炔主鏈螺旋結構形成方向。
3.7香豆素二聚化影響
香豆素基團在紫外光照條件下可發生可逆的光二聚反應:在365nm光輻照下,香豆素基團能發生光二聚反應,在254nm輻照下香豆素二聚體能可逆地發生解二聚反應??梢灶A見香豆素端基的二聚化將影響香豆素取代二乙炔單體在氣液界面的組裝,從而影響聚二乙炔主鏈螺旋結構的形成。我們用365nm紫外燈輻照CODA氯仿溶液20min,此時香豆素端基能發生二聚,而二乙炔基團不會發生聚合。將得到的CODA二聚體的氯仿溶液鋪展在水面上,沉積制備LB膜,制備得到的CODA二聚體LB膜能聚合成藍相。CD光譜測試發現香豆素基團和相應的聚二乙炔吸收帶均出現了明顯的CD信號,但強度較CODA LB膜均有所減弱,如圖8所示。
香豆素二聚后,分子間的立體位阻不規則排列阻礙了二乙炔鏈的緊密平行排列,不利于聚二乙炔主鏈螺旋結構的形成。
4結論
設計合成了2種香豆素取代二乙炔單體,研究了柔性間隔基對香豆素取代二乙炔單體在氣液界面的組裝、單體LB膜的聚合以及聚二乙炔主鏈螺旋結構形成的影響。盡管CODA分子是非手性的,但其LB膜均表現出明顯的宏觀手性信號。這是由于在壓縮過程中香豆素基團間強烈的π-π堆積,形成了螺旋排列,顯示出超分子手性。而CO2DA LB膜中分子排列較松散,香豆素基團間無法形成緊密有序的規整排列,沒有觀察到明顯的CD信號。經254nm紫外光輻照,CODA LB膜聚合成藍相,聚二乙炔主鏈表現出明顯的宏觀手性。而CO2DA LB膜聚合后同時存在有效共軛鏈長較長的藍相聚二乙炔主鏈和共軛鏈長較短的紅相聚二乙炔主鏈,薄膜無明顯的宏觀手性。LB膜中香豆素功能基團的排列對聚二乙炔主鏈螺旋結構的形成有決定性的影響。
5創新點與展望
本研究通過系統比較CODA和CO2DA兩種香豆素取代二乙炔單體的界面行為、聚合特性及手性形成機制,揭示了柔性間隔基在超分子組裝中的重要作用。主要創新點包括:
1.首次系統研究了柔性間隔基對香豆素取代二乙炔體系手性形成的影響
2.發現了非手性分子通過界面組裝產生超分子手性的新現象
3.闡明了香豆素端基排列對聚二乙炔主鏈螺旋結構的決定性影響
未來研究方向可進一步探索不同長度柔性間隔基的調控規律,以及手性LB膜在傳感器、光學器件等領域的應用潛力。





