合作客戶/
拜耳公司 |
同濟大學 |
聯合大學 |
美國保潔 |
美國強生 |
瑞士羅氏 |
相關新聞Info
推薦新聞Info
-
> 新型多羥基苯磺酸鹽驅油劑的界面張力優化及油田應用潛力分析(一)
> 基于最大氣泡壓力方法測量液態鋰錫合金表面張力
> 烷基糖苷表面活性劑界面張力與潤濕性相關性研究(二)
> 烷基糖苷表面活性劑界面張力與潤濕性相關性研究(一)
> 嵌段比例對溫敏聚合物表面張力的影響及臨界膠束濃度分析(五)
> 嵌段比例對溫敏聚合物表面張力的影響及臨界膠束濃度分析(四)
> 利用表面張力優化浮選工藝:調整劑AY在石英-膠磷礦分離中的活性調控(二)
> 利用表面張力優化浮選工藝:調整劑AY在石英-膠磷礦分離中的活性調控(一)
> 嵌段比例對溫敏聚合物表面張力的影響及臨界膠束濃度分析(三)
> 嵌段比例對溫敏聚合物表面張力的影響及臨界膠束濃度分析(二)
3種反應型陽離子Gemini表面活性劑合成、表征和性能測試(上)
來源:化工進展 瀏覽 1283 次 發布時間:2025-02-08
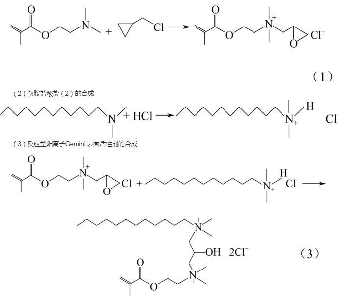
Gemini表面活性劑[1-2],通過化學鍵將兩個常規單鏈表面活性劑聯接在一起,降低離子頭基間的靜電斥力,使得表面活性劑在溶液中形成氣/液界面吸附層和在體相中聚集體分子的有序組織更加緊密的排列。因此比常規表面活性劑具有更高的表/界面活性、低的臨界膠束濃度、良好的水溶性及獨特的流變性等[2-4],故廣泛用于油氣開采、化學化工、納米材料、生物技術、日用化學等各個方面[5-7]。近年來Gemini表面活性劑發展迅速,已引起研究者的廣泛興趣和研究[8-10],同時如何實現表面活性劑的多功能化更是其發展的重要方向之一[11-14]。本文采用甲基丙烯酸二甲氨基乙酯(DM)、環氧氯丙烷(ECH)和3種長鏈烷基叔胺為主要原料,合成了3種反應型陽離子Gemini表面活性劑,即將羥基和碳碳雙鍵同時引入到不對稱Gemini表面活性劑分子結構中使其帶有反應基團,可在乳液聚合、表面吸附、相轉移催化等領域具有潛在的優勢和應用前景。
1實驗部分
1.1主要試劑和儀器
十二烷基二甲基叔胺、十四烷基二甲基叔胺、十六烷基二甲基叔胺,上海金山經緯化工有限公司,工業品(含量>98%);甲基丙烯酸二甲氨基乙酯(DM)、環氧氯丙烷(ECH),化學純;濃鹽酸(36.5%)、異丙醇,化學純,國藥集團化學試劑有限公司。
傅里葉變換紅外光譜儀,VECTOR-22型,德國Bruker公司;核磁共振儀,ADVANCEIII 400MHz型,德國Bruker公司;元素分析儀,Vario ELⅢ型,德國Elemeraor公司;表面界面張力儀,芬蘭Kibron公司。
1.2反應原理(以合成C12-3(OH)-DM為例)
(1)環氧丙基季銨鹽(1)的合成
(2)叔胺鹽酸鹽(2)的合成
(3)反應型陽離子Gemini表面活性劑的合成
1.3合成步驟
1.3.1環氧丙基季銨鹽(1)的合成
在裝有電動攪拌裝置、恒壓滴液漏斗和回流冷凝器的三口燒瓶中加入0.05mol DM和15mL異丙醇溶劑,放入60℃恒溫水浴鍋中,攪拌均勻后,開始滴加0.065mol ECH,約30min滴完,繼續反應4h,用莫爾法測其反應轉化率,反應結束后立即減壓旋轉蒸餾除去溶劑和過量環氧氯丙烷,用乙酸乙酯和乙醇以體積比7∶3的混合液進行重結晶,重復3次,真空干燥,得淡黃色膏狀環氧丙基季銨鹽中間體(1)9.28g,供第三步使用[15-16]。
1.3.2叔胺鹽酸鹽(2)的合成
在三口燒瓶中加入0.05mol長鏈烷基叔胺(分別為十二叔胺、十四叔胺、十六叔胺),室溫攪拌下,開始滴加0.054mol的18%鹽酸溶液,約30min滴完,繼續反應30min,反應結束后立即減壓抽濾,用丙酮沖洗產物,洗滌3~5次,真空干燥,得白色叔胺鹽酸鹽固狀中間體(2)質量分別為12.08g、13.56g、14.90g,供第3步使用。
1.3.3反應型陽離子Gemini表面活性劑的合成
將上步產物中間體(1)和中間體(2)各取0.05mol一起加入三口燒瓶中,用去離子水作溶劑,溫度控制在75℃,反應時間4h。產物經減壓旋轉蒸餾,粗產物用乙酸乙酯進行重結晶,重復3~5次,真空干燥,分別得到淡黃色反應型陽離子Gemini表面活性劑C12-3(OH)-DM、C14-3(OH)-DM和C16-3(OH)-DM,質量分別為20.92g、22.32g、23.71g。
1.4表征和性能測試
1.4.1目標產物的結構表征
使用德國Bruker公司VECTOR-22型傅里葉變換紅外光譜儀測定紅外光譜,用KBr壓片法制樣,掃描范圍為4000~400cm-1。
使用德國Elemeraor公司Vario ELⅢ型元素分析儀測定化合物中C、H和N的含量,樣品量為2.0~3.0mg(天平精度為l/100000)。
使用德國Bruker公司ADVANCEIII 400MHz型核磁共振波譜儀測定核磁共振氫譜,內標為四甲基硅烷(TMS),溶劑為重水。
1.4.2表面性能
采用芬蘭Kibron公司全自動高通量表面張力儀,測試溫度20℃±0.5℃,使用吊片法測定3種合成產物在不同濃度下的表面性能[17-19]。
1.4.3泡沫性能
采用試管振蕩法[20-23]測定表面活性劑的泡沫性能:20℃下,在250mL具塞刻度試管中加入50mL已配好的0.5%的表面活性劑溶液,用力振蕩25次,靜置,記錄不同時間點泡沫和液體在試管中的體積高度。
1.4.4乳化性能
采用量筒法[19,24-27]進行乳化力的測定:用移液管準確量取40mL 0.5%的表面活性劑溶液放入有玻璃塞子的量筒內,再移取40mL氯仿,用力捏緊玻璃塞,上下猛烈振動10下,靜置1min;如此重復3次。立即用秒表記錄時間,此時水油兩相逐漸分開,水相慢慢出現,至水相分出5mL和10mL時,記錄分出水的時間。重復操作3次,取平均值。





